Breve lezione con esempi spiegati sul calcolo del cubo di binomio e video finale

Prerequisiti:
- conoscere e saper svolgere le operazioni di base con i monomi:
- somma tra monomi simili
- moltiplicazione tra monomi
- potenza di monomi
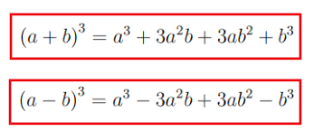
Partendo dalla formula generale iniziamo a risolvere il cubo dei binomio

Utilizziamo il binomio (3c+5x) e vediamo di applicare la formula risolutiva

come si svolgono le singole operazioni:
- (3c)3 = parte numerica 3*3*3=27 parte letterale c*c*c=c3 risultato 27c3
- 3*(3c)2 *(5x) = parte numerica 3*(3)2 *5 = 3*9*5= 135 parte letterale (c)2 *x= c2x risultato 135c2x
- 3*(3c) *(5x)2 = parte numerica 3*3*(5)2 = 3*3*25=225 parte letterale c*(x)2 = cx2 risultato 225cx2
- (5x)3 = parte numerica 5*5*5= 125 parte letterale (x)3 = x3 risultato 125x3
Proviamo con valori negativi

Il procedimento è lo stesso ma devo ricordarmi dei segni, vediamo tutti i passaggi:
- (3c)3 = parte numerica 3*3*3=27 parte letterale c*c*c=c3 risultato 27c3
- 3*(3c)2 *(-5x) = parte numerica, ricordarsi il segno, il meno moltiplica entrambi i segni positivi e il risultato sarà negativo! 3*(3)2 *-5 = 3*9*5= 135 parte letterale (c)2 *x= c2x risultato -135c2x
- 3*(3c) *(5x)2 = parte numerica, il segno è positivo perchè un numero negativo elevato ad una potenza pari da sempre un segno positivo! (meno*meno=più) 3*3*(-5)2 = 3*3*25=225 parte letterale c*(x)2 = cx2 risultato 225cx2
- (-5x)3 = parte numerica, ricordare il segno, segno negativo e potenza dispari il segno sarà negativo -5*-5*-5= -125 parte letterale (x)3 = x3 risultato -125x
Per capire meglio vi lascio una breve videolezione. Buona lezione alla prossima
